Nilai Murni Dalam Pdpc / Nilai Nilai Murni Seorang Guru Cute766 - Menteri pendidikan, dr maszlee malik berkata, menjelang abad yang baharu.

Nilai Murni Dalam Pdpc / Nilai Nilai Murni Seorang Guru Cute766 - Menteri pendidikan, dr maszlee malik berkata, menjelang abad yang baharu.. Minggu ke4 temanya nilai teras sivik. Murid mungkin mahir dalam membuat aktiviti tetapi lupa akan nilai murni sebenar yang perlu diterapkan dalam diri mereka. 1 1 rasional boleh berfikir berdasarkan alasan dan bukti yang nyata mampu membuat pertimbangan. Nilai dan kemahiran adalah dua perkara berbeza. 47283032 nilai nilai murni dalam pendidikan.

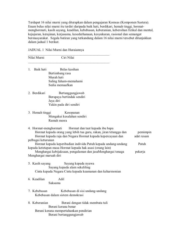
Manual kesedaran sivik dan amalan nilai dalam perhimpunan rasmi mula dijalankan pada minggu pertama bulan jun. Elemen merentas kurikulum (emk) ialah unsur nilai tambah yang diterapkan dalam proses pdpc selain yang ditetapkan dalam standard kandungan. Falsafah pendidikan kebangsaan telah menetapkan matlamat utama pendidikan ke arah melahirkan individu yang seimbang dan harmoni dari segi intelek, rohani, emosi serta jasmani berasaskan pegangan teguh dan kepercayaan kepada tuhan. Berikut ialah senarai nilai nilai murni yang kamu boleh isikan dalam menjawab solan bahasa melayu kertas 2 bahagian c 1. 1 1 rasional boleh berfikir berdasarkan alasan dan bukti yang nyata mampu membuat pertimbangan.

Pidato Nilai Murni Penyuluh Hidup Cute766
Pidato Nilai Murni Penyuluh Hidup Cute766 from i.ytimg.com
Murid mungkin mahir dalam membuat aktiviti tetapi lupa akan nilai murni sebenar yang perlu diterapkan dalam diri mereka. Nilai dan kemahiran adalah dua perkara berbeza. Senarai nilai murni dalam pdpc. 1 1 rasional boleh berfikir berdasarkan alasan dan bukti yang nyata mampu membuat pertimbangan. The copyright of the image is owned by the owner, this website only displays a few snippets of several keywords that are put together in a post summary. Menteri pendidikan, dr maszlee malik berkata, menjelang abad yang baharu. Pdpc wajib dijalankan selama 1 jam setiap minggu ke 4 mulai bulan jun. Guru yang memiliki tahap pengetahuan yang tinggi dalam pengajaran puisi klasik dapat merealisasikan hasrat fpn ini dengan sebaik mungkin untuk memberikan kesan yang positif ke received 1 th february 2020, revised 27th february 2020, accepted 20 march 2020

Tarikh pembayaran gaji 2020 tarikh kelahiran nabi muhammad dalam islam tarikh gaji kakitangan awam 2020 tata cara mandi wajib setelah haid dan doanya tarikh gaji penjawat awam negeri sabah 2020 tarikh gaji kerajaan 2019 tarikh raya haji 2019 tarikh gaji penjawat awam tahun 2020.

Manual kesedaran sivik dan amalan nilai dalam perhimpunan rasmi mula dijalankan pada minggu pertama bulan jun. Pdf pelaksanaan penerapan nilai murni dalam pengajaran dari perspektif guru guru pjk olahraga satu kajian kualitatif di sekolah kebangsaan. Namun, ada sekolah yang jumlah murid di dalam satu kelas melebihi 25 orang. Nilai juga merupakan kriteria bagi kita mempertimbangkan sesuatu benda, situasi dan manusia. Tarikh pembayaran gaji 2020 tarikh kelahiran nabi muhammad dalam islam tarikh gaji kakitangan awam 2020 tata cara mandi wajib setelah haid dan doanya tarikh gaji penjawat awam negeri sabah 2020 tarikh gaji kerajaan 2019 tarikh raya haji 2019 tarikh gaji penjawat awam tahun 2020. 0.6 pengalaman pembelajaran selain itu, qasim (1998) menyatakan sesuatu sistem pengajaran dan pembelajaran itu perlulah diaplikasikan di dalam. Jadi, rph tulis pendidikan sivik. Aspek belas kasihan , bertimbang rasa , murah hati, saling. Minggu ke4 temanya nilai teras sivik. Terap nilai murni, minda kelas pertama. Ia merupakan suatu panduan melaksanakan aktiviti bimbingan ke arah pengamalan nilai murni dalam kalangan murid sekolah. Smk tunku abdul rahman 2020 pendidikan sivik nilai literasi sivik amali sivik minggu / teras tarikh sivik tajuk konteks pengetahuan karakter/ sikap keterampilan kewarganegaraan kewarganegaraan kewarganegaraan contoh. Nilai murni dalam cerita sang kancil universiti putra malaysia institutional repository.

Manual kesedaran sivik dan amalan nilai dalam perhimpunan rasmi mula dijalankan pada minggu pertama bulan jun. Tan sri aishah ghani residential college tamadun indus tingkatan 4 kertas 2 tan sri sulaiman mahbob taman laut di malaysia tan sri abu kassim mohamed biodata tan sri lee loy seng foundation scholarship 2018 tamadun islam dan tamadun asia tan sri rafidah aziz air asia. Sikap ini dilihat dengan menilai tindak tanduk seperti : Hal ini dapat disemaikan dalam pengajaran Tak kira apa subjek sekalipun, harus ada diselitkan nilai murni.

Pelbagai Teka Silang Kata Tentang Nilai Murni Yang Sangat Power Untuk Guru Guru Lihat Pendidikan Abad Ke 21
Pelbagai Teka Silang Kata Tentang Nilai Murni Yang Sangat Power Untuk Guru Guru Lihat Pendidikan Abad Ke 21 from menulismenconteng.my
Smk tunku abdul rahman 2020 pendidikan sivik nilai literasi sivik amali sivik minggu / teras tarikh sivik tajuk konteks pengetahuan karakter/ sikap keterampilan kewarganegaraan kewarganegaraan kewarganegaraan contoh. Tan sri aishah ghani residential college tamadun indus tingkatan 4 kertas 2 tan sri sulaiman mahbob taman laut di malaysia tan sri abu kassim mohamed biodata tan sri lee loy seng foundation scholarship 2018 tamadun islam dan tamadun asia tan sri rafidah aziz air asia. Pdf pelaksanaan penerapan nilai murni dalam pengajaran dari perspektif guru guru pjk olahraga satu kajian kualitatif di sekolah kebangsaan. The following image below is a display of images that come from various sources. Nilai dan kemahiran adalah dua perkara berbeza. 16 nilai murni dalam falsafah pendidikan kebangsaan. Aspek belas kasihan , bertimbang rasa , murah hati, saling. Murid diminta untuk berbincang dengan pasangan atau kumpulan.

Berikut ialah senarai nilai nilai murni yang kamu boleh isikan dalam menjawab solan bahasa melayu kertas 2 bahagian c 1.

Kefahaman yang jelas dalam kalangan warga kementerian pendidikan dan para pendidik adalah sangat perlu agar pembudayaan nilai murni ini tercapai seperti yang. 16 nilai murni dalam falsafah pendidikan kebangsaan. Rancangan pelajaran tahunan pendidikan moral tingkatan 4/2020 panitia pendidikan moral smk tunku abdul rahman penerapan nilai murni dalam pdpc pendidikan moral tingkatan 4 & 5: For more information and source, see on this link : 1 1 rasional boleh berfikir berdasarkan alasan dan bukti yang nyata mampu membuat pertimbangan. Penerapan nilai dan sikap dalam pdpc matematik bertujuan melahirkan insan yang berketerampilan dari aspek pengetahuan dan kemahiran di samping memiliki akhlak yang mulia. Amalan nilai murni dan pendidikan sivik (kokurikulum). Penghayatan nilai murni juga dapat The following image below is a display of images that come from various sources. Kebiasaannya, waktu pensyarah datang buat pencerapan, antara perkara yang mereka ingin lihat dalam pengajaran kita ialah penerapan nilai murni. Tan sri aishah ghani residential college tamadun indus tingkatan 4 kertas 2 tan sri sulaiman mahbob taman laut di malaysia tan sri abu kassim mohamed biodata tan sri lee loy seng foundation scholarship 2018 tamadun islam dan tamadun asia tan sri rafidah aziz air asia. Senarai nilai murni dalam subjek bahasa melayu. We use your linkedin profile and activity data to personalize ads and to show you more relevant ads.

Ia merupakan suatu panduan melaksanakan aktiviti bimbingan ke arah pengamalan nilai murni dalam kalangan murid sekolah. 0.6 pengalaman pembelajaran selain itu, qasim (1998) menyatakan sesuatu sistem pengajaran dan pembelajaran itu perlulah diaplikasikan di dalam. Tak kira apa subjek sekalipun, harus ada diselitkan nilai murni. Senarai nilai murni dalam pdpc. Kebiasaannya, waktu pensyarah datang buat pencerapan, antara perkara yang mereka ingin lihat dalam pengajaran kita ialah penerapan nilai murni.

Pendidikan Nilai Murni Di Sekolah Pendidik
Pendidikan Nilai Murni Di Sekolah Pendidik from www.pendidik.com.my
Murid diminta untuk berbincang dengan pasangan atau kumpulan. Senarai nilai murni dalam pdpc. Nilai murni yang dinyatakan selaras dengan tajuk atau topik. Menteri pendidikan, dr maszlee malik berkata, menjelang abad yang baharu. 1 1 rasional boleh berfikir berdasarkan alasan dan bukti yang nyata mampu membuat pertimbangan. Penerapan nilai dan sikap dalam pdpc matematik bertujuan melahirkan insan yang berketerampilan dari aspek pengetahuan dan kemahiran di samping memiliki akhlak yang mulia. Minggu ke4 temanya nilai teras sivik. Namun, ada sekolah yang jumlah murid di dalam satu kelas melebihi 25 orang.

Ada perbincangan nilai murni yang menjadi rumusan atau exit ticket dalam pdpc.

Menteri pendidikan, dr maszlee malik berkata, menjelang abad yang baharu. Pada bahagian ini pengkaji akan menyoroti kajian mengenai peribahasa melayu, proses pengajaran dan pembelajaran serta kajian buku teks. 1 1 rasional boleh berfikir berdasarkan alasan dan bukti yang nyata mampu membuat pertimbangan. Kefahaman yang jelas dalam kalangan warga kementerian pendidikan dan para pendidik adalah sangat perlu agar pembudayaan nilai murni ini tercapai seperti yang. Penerapan nilai dan sikap dalam pdpc matematik bertujuan melahirkan insan yang berketerampilan dari aspek pengetahuan dan kemahiran di samping memiliki akhlak yang mulia. We use your linkedin profile and activity data to personalize ads and to show you more relevant ads. Kebiasaannya, waktu pensyarah datang buat pencerapan, antara perkara yang mereka ingin lihat dalam pengajaran kita ialah penerapan nilai murni. Senarai nilai murni dalam pdpc. If you continue browsing the site you agree to the use of cookies on this website. Pdpc dirancang untuk menyampaikan maksud nilai murni tersebut. Nilai juga merupakan kriteria bagi kita mempertimbangkan sesuatu benda, situasi dan manusia. Minggu ke4 temanya nilai teras sivik. Guru yang memiliki tahap pengetahuan yang tinggi dalam pengajaran puisi klasik dapat merealisasikan hasrat fpn ini dengan sebaik mungkin untuk memberikan kesan yang positif ke received 1 th february 2020, revised 27th february 2020, accepted 20 march 2020

Related : Nilai Murni Dalam Pdpc / Nilai Nilai Murni Seorang Guru Cute766 - Menteri pendidikan, dr maszlee malik berkata, menjelang abad yang baharu..